徠卡機器人全站儀助力三等水準測量
一、前言
目前高程測量方法一般分為幾何水準測量、GPS水準測量和三角高程測量三大類。采用傳統水準的方法測定點與點之間的高差,所得到的地面點高程精度較高,普遍用于建立國家高程控制點及測定高等級地形控制點的高程。對于地面高低起伏較大的地區,采用這種方法測定地面點的高程進程緩慢,有時甚至非常困難。

精密三角高程測量在丘陵地、山地、高山地區相比常規水準測量,因架站少、架站自由、靈活、快速,不需要量測儀器、棱鏡高,傳遞高程優勢顯著,能大大降低外業勞動強度,但受限于全站儀的硬件性能,此前一直未能在生產中實際應用;徠卡測量機器人的出現,打破了三角高程測量不能代替高精度水準測量的束縛,徠卡自動全站儀多測回自動觀測、自動識別限差,給野外測量帶來很大的便利,尤其夜間觀測成果更佳。
二、精密三角高程測量技術的可行性研究

作業流程:
檢測棱鏡互差,并檢核棱鏡的加裝是否符合要求,同時還要對全站儀進行組合檢校;
在起點布設棱鏡桿,在距離起點較近的一點(轉點1),布設主站;
主站在轉點1依次觀測棱鏡桿低棱鏡(①)和棱鏡桿高棱鏡(②);
主站不動,在轉點2架設輔站。依次進行如下觀測:后測站觀測低棱鏡(③)、前測站觀測低棱鏡(④)、前測站觀測高棱鏡(⑤)、后測站觀測高棱鏡(⑥);
主站換站至轉點3,輔站不動。依次進行如下觀測:后測站觀測低棱鏡(⑦)、前測站觀測低棱鏡(⑧)、前測站觀測高棱鏡(⑨)、后測站觀測高棱鏡(⑩);
輔站換站,依次循環進行高程的傳遞至接近末點處;
在最后的轉站,主站依次觀測末點高低棱鏡。
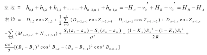
數據模型:

限差

三、項目驗證
為了驗證精密三角高程測量的精度, 內蒙古自治區測繪院使用徠卡TCRA1201全站儀、徠卡TS30全站儀及徠卡TS60全站儀等檢測了很多段用數字電子水準儀測得二等水準路線。其結果如表所示, 精密三角高程測量是完全可以達到二等水準測量的要求。

四、經驗積累、廣泛應用
自2010年5月以來,內蒙古自治區測繪院在呼和浩特、包頭、鄂爾多斯、巴彥淖爾市、烏蘭察布市、赤峰市已成功的使用徠卡自動全站儀精密三角高程測量代替二等水準測量1700多千米;在烏蘭察布市、呼倫貝爾市、興安盟、赤峰市等地方成功的使用徠卡自動全站儀精密三角高程測量代替三等水準測量4000多千米。

經過數年的研究,不同時間,不同區域,所測得的數據基本都能滿足國家二等水準測量規范的要求。徠卡自動全站儀搭配三角高程測量軟件、計算軟件和正確的測量方法,達到了目的和效果。同時我們也積累了諸多的外業經驗:
盡可能使用無伸縮腳架觀測,測段起、末水準點上,對中桿要放穩,保持高度不。
對向觀測時,如一站觀測時間過長,應重測對向觀測。
白天平均氣溫超過26℃時,在保障安全的作業前提下,最好在夜間作業,提前踏勘、選定觀測路線和測站點,更能顯著提高作業效率。
白天作業視線長度不宜超過800米,經過大量測量數據證明500米左右為最佳觀測距離。
白天作業時間遵照水準測量規范上的要求,由于在陽光直射和地面溫度較高,熱氣浪大時大氣折光影響較大。
自動照準觀測,視場內不能有遮擋物在棱鏡前。
視線不能通過煙火上空,觀測目標背后不能有大面積反光地物(蔬菜大棚),大面積水域。
在ATR自動照準時盡量避免陽光直射,由于正對太陽時,在自動照準光路中會有噪聲,從而影響自動照準的精度。

五、總結
傳統二、三等水準在山地、高山的測量中,需要耗費大量的人力、物力和財力,且效率極低。以傳統水準測量為例,在山地連測二、三等水準,單程連續觀測前后視距5-10米,一站一站連測,一個組一天連測3-5公里左右,依據財政部、國家測繪局2009 年頒布的《測繪生產成本費用定額》計算,100個水準點需要聯測1000千米。若對這些點進行二等水準觀測,100個水準點觀測的費用為207萬元,一個組5人需要400天完成。而同樣任務利用徠卡自動全站儀精密三角高程聯測二等水準,一個組一天聯測8-10公里左右,200天以內就可以完成1000千米的水準測量,節省大量的人力、物力。應用徠卡自動全站儀精密三角高程代替二、三等水準測量在困難地區聯測,可產生巨大的經濟效益。
徠卡自動全站儀精密三角高程測量具有傳遞高程靈活、方便、受地形條件限制較少等優點,徠卡測量機器人超高的測角測距精度,為精密三角高程測量提供了硬件保障,目前徠卡自動全站儀精密三角高程測量在大地測量、工程測量中得到了廣泛的應用。
更多相關
(天寶)TrimbleSX10三維激光掃描儀在鐵路軌道檢測中的應用
項目總結 南寧某軌道在建中,需快速獲取周邊場景數據并繪制軌道中心線與軌道線,完成與軌道設計圖的對比與檢測分析。由于現場環境限制,遮擋嚴重,全站儀與GPS等常規設備無法快速進行作業,而且其高質量及高精...
徠卡iCS50裝修機器人:為裝修行業而生
徠卡iCS50裝修機器人:顛覆傳統裝修的精準高效大師在裝修裝飾行業,精準的測量與放線是決定最終效果和施工效率的靈魂環節。傳統依賴卷尺、墨斗和人工彈線的方式,不僅耗時費力,而且極易出錯,微小的誤差經過累...
什么是千尋知寸FINDCM?有什么用途?
什么是千尋知寸FINDCM?千尋知寸(FINDCM) 是千尋位置網絡有限公司(一家由中國兵器工業集團和阿里巴巴集團共同發起成立的高科技公司)推出的一項高精度定位服務。它的核心可以概括為:一個...
中緯ZT30R Ultra全站儀 功能介紹
中緯ZT30RUltra全站儀是中緯公司推出的一款高端產品,旨在提供卓越的測量性能和用戶體驗。以下是中緯ZT30RUltra全站儀一些可能的特點和優勢:1.高性能測距:- 中緯ZT30...
世界第一跨懸索橋:土耳其恰納卡萊1915大橋建設過程中的結構監測
跨懸索橋 土耳其恰納卡萊1915大橋是跨徑770m+2023m+770m的特大懸索橋,跨越達達尼爾海峽,是連接歐亞大陸的一條重要陸路...
十四天,往返三十公里,精密水準測量穿越川藏無人區
隊伍進溝,一眼望去山體呈黃褐色,只有稀疏低矮的蒿草,盡收眼底的是無盡的荒涼。康玉曲的河水奔涌而來、氣勢兇猛,兩岸全是礫石、流沙和聳入蒼穹的懸崖峭壁。剛修繕的羊腸小道只能容一人通過,上有飛石、滑坡,...
南京徠卡全站儀維修檢定租賃中心
南京徠卡全站儀維修檢定租賃中心,江蘇徠卡全站儀維修水準儀維修,范圍包括:南京、無錫、徐州、常州、蘇州、南通、連云港、淮安、鹽城、揚州、鎮江、泰州市、宿遷市,江蘇維修徠卡全站儀水準儀來南京環球測繪!徠卡...
腳步丈量能否被無人機測繪“無情”取代
隨著空間技術、計算機技術和信息技術的發展,人類實現了從空中和太空中觀測地球的理想,遙感正是實現這一理想的利器。通過有人飛機航空遙感和衛星遙感的方式,獲取地球表面的信息,不僅成本昂貴,也受到回歸周期...











環球測繪微信